Предмет:
Тема:
Алгоритмы на ветвление
Вопрос:
При температуре (Т) ниже
, отменяются занятия в первых–третьих классах школ, ниже
градусов – в первых–восьмых классах, ниже
градусов – в первых–одиннадцатых классах школ. Блок-схема алгоритма, реализующего регламент школьных занятий при понижении температуры, имеет вид …
Ответы:
+ 

− 

− 

− 

Решение:
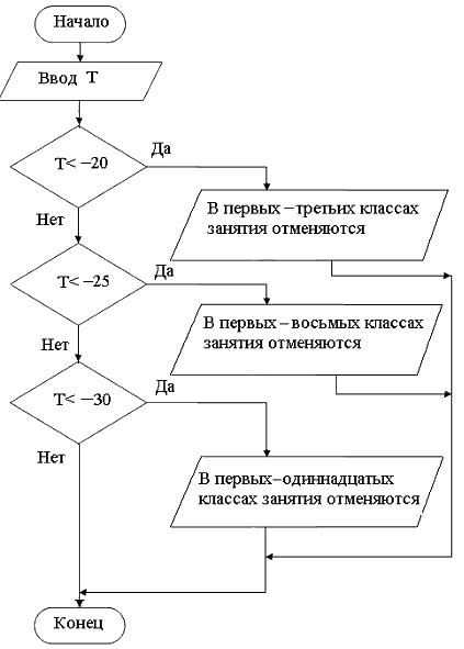
При определении порога отмены школьных занятий, естественным является проверка показаний термометра на худший случай
, затем, если необходимо, проверяем среднее значение пороговой температуры
и затем, если понадобится, самый мягкий случай
. Блок-схема, реализующая данную последовательность действий, выглядит следующим образом:

ответ тест i-exam
, затем, если необходимо, проверяем среднее значение пороговой температуры
и затем, если понадобится, самый мягкий случай
. Блок-схема, реализующая данную последовательность действий, выглядит следующим образом:
ответ тест i-exam